Contoh Carta Alir Untuk Game


Carta Alir Pdf


Kuiz Pembangunan Algoritma Other Quiz Quizizz


Carta Alir Permainan Komputer Menyambut Buah Rambuta Worksheet


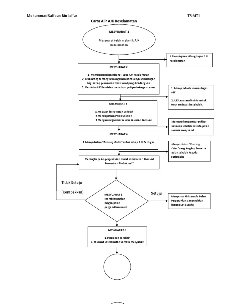
Carta Alir Ajk Keselamatan Pdf


Ujian Akhir Semester 1 Ask Ting2 Algorithms Quiz Quizizz

Post a Comment

0 Comments

Ad Code